Research Highlights

Research Highlights

A selection of highlights culled from publications by HAO staff.
Air density in the northern hemisphere on 27 March 2003 when CHAMP passes through the edge of a high-latitude density enhancement

Alfvénic thermospheric upwelling in a global geospace model

First author, William Lotko, reveals that the CHAMP satellite orbiting near 400 km altitude near the magnetic cusp routinely traversed thermospheric density enhancements (up to 50%) that are not predicted by empirical models. The density enhancements are well-correlated with kilometer-scale field-aligned currents interpreted as ionospheric Alfvén resonator modes.

SDO and IRIS full-disk observations from 2016 Feb 22

Detecting the Chromospheric Footpoints of the Solar Wind

Coronal Holes present the source of the fast solar wind. However, the fast solar wind is not unimodal—there are discrete, but subtle, compositional, velocity, and density structures that differentiate different coronal holes as well as wind streams that originate within one coronal hole. In this Letter we exploit full-disk observational “mosaics” performed by the Interface Region Imaging Spectrograph (IRIS) spacecraft to demonstrate that significant spectral contrast exists within the chromospheric plasma of coronal holes.

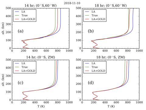
Comparison of the whole atmosphere temperature profiles from the true state, lower atmosphere only assimilation (LA), and lower-atmosphere plus GOLD assimilation (LA+GOLD) for 14 UT (left column) and 18 UT (right column) at different locations inside the GOLD field of view (top) and for the zonal mean (bottom)

Impact of GOLD Retrieved Thermospheric Temperatures on a Whole Atmosphere Data Assimilation Model

The present investigation evaluates the assimilation of synthetic data which has properties similar to actual Global-scale Observations of the Limb and Disk (GOLD) level-2 (L2) and other conventional lower atmospheric observations. The lower atmospheric and GOLD L2 temperature (Tdisk) are assimilated in the Whole Atmosphere Community Climate Model with thermosphere-ionosphere eXtension (WACCMX) using Data Assimilation Research Testbed (DART).

An MHD simulation of the evolution of a prominence-forming twisted coronal flux rope, for which large amplitude longitudinal (LAL) oscillations are excited during the quasi-static rise phase, followed by prominence draining towards the flux rope foot-points and the eventual eruption of the flux rope and the prominence

Simulations of prominence eruption preceded with large amplitude longitudinal oscillations and draining

We present magnetohydrodynamic (MHD) simulations of the evolution from quasi-equilibrium to eruption of a prominence-forming twisted coronal flux rope under a coronal streamer. The prominence condensations form at the dips of the twisted flux rope due to run-away radiative cooling.

Observations of ionospheric behavior during the 2009 SSW event

Sudden Stratospheric Warmings

Sudden stratospheric warmings (SSWs) are impressive fluid dynamical events in which large and rapid temperature increases in the winter polar stratosphere (∼10–50km) are associated with a complete reversal of the climatological wintertime westerly winds. 

Comparison of analytic model magnetic field lines to results of numerical reconstruction

Reconstructing the Coronal Magnetic Field: The Role of Cross-Field Currents in Solution Uniqueness

We present a new 3D magnetohydrostatic (MHS) direct elliptic solver for extrapolating the coronal magnetic field from photospheric boundary conditions in a manner consistent with an assumed plasma distribution.

Maps of the E-region horizontal and radial currents for 18 March 2016 at 11:22 UT

Dipolar elementary current systems for ionospheric current reconstruction at low and middle latitudes

The flow of ionospheric current can be probed by examining magnetic field measurements at the ground and at Low-Earth-Orbit (LEO) altitude. The interpretation of the magnetic field perturbations with respect of ionospheric current flow is complicated by the fact that the perturbations reflect the integrated effect of current flow close-by and far-away.

Polar maps of the simulated electron density at pressure level 2 (~300 km) in the Northern Hemisphere as a function of geographic latitude and local time on 17 March 2013

Formation of Double Tongues of Ionization During the 17 March 2013 Geomagnetic Storm

During geomagnetic disturbances, enhanced high‐latitude convection transports ionospheric F2‐region plasma from the dayside midlatitude region into the polar cap, leading to structures such as tongues of ionization (TOIs) and patches. In this study, we investigate the dynamic evolution of TOIs during the 17 March 2013 storm using a high‐resolution coupled thermosphere‐ionosphere‐electrodynamics model and Defense Meteorological Satellite Program (DMSP) satellite observations.

A portion of the inner penumbra in the MURaM sunspot simulation by Rempel (2015) with some filaments hosting a counter-Evershed flow (see also Siu-Tapia et al. 2018)

Superstrong photospheric magnetic fields in sunspot penumbrae

Recently, there have been some reports of unusually strong photospheric magnetic fields (which can reach values of over 7 kG) inferred from Hinode SOT/SP sunspot observations within penumbral regions. These superstrong penumbral fields are even larger than the strongest umbral fields in record and appear associated with supersonic downflows.