Research Highlights

Research Highlights

A selection of highlights culled from publications by HAO staff.
Radial profiles of continuum intensity (b), magnetic field inclination (c), total magnetic field strength (d), vertical magnetic field strength (e), and horizontal magnetic field strength (f)

A distinct magnetic property of the inner penumbral boundary III. Analysis of simulated sunspots

The analyses of sunspot observations revealed a fundamental magnetic property of the umbral boundary, the invariance of the vertical component of the magnetic field. We aim to analyse the magnetic properties of the umbra-penumbra boundary in simulated sunspots and thus assess their similarity to observed sunspots. 

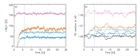
Plots of magnetic field and TSI with time

On the contribution of quiet Sun magnetism to solar irradiance variations: Constraints on quiet Sun variability and grand minimum scenarios

While the quiet Sun magnetic field shows only little variation with the solar cycle, long-term variations cannot be completely ruled out from first principles.

H+ band Electromagnetic Ion Cyclotron (EMIC) waves

Statistical Dependence of EMIC Wave Scattering on Wave and Plasma Parameters

A recent statistical study has suggested that not all electromagnetic ion cyclotron (EMIC) waves can scatter relativistic electrons. However, knowledge of the factors that influence the EMIC wave scattering efficiency is still limited in observations. In our study, we perform 6 years of analysis of data from 2013 to 2018, with relativistic electron precipitation (REP) observed by POES and EMIC wave observations from Van Allen Probes.

Fully processed image of the corona generated by stacking many co-aligned, calibrated images and applying a radial filter and multi-scale unsharp mask to bring out details at higher altitudes

A new facility for airborne solar astronomy: NASA’s WB-57 at the 2017 total solar eclipse

NASA's WB-57 High Altitude Research Program provides a deployable, mobile, stratospheric platform for scientic research. Airborne platforms are of particular value for making coronal observations during total solar eclipses because of their ability both to follow the Moon's shadow and to get above most of the atmospheric airmass that can interfere with astronomical observations.

Rossby waves

Space Weather Challenge & Forecasting Implications Of Rossby Waves

Rossby waves arise in thin layers within fluid regions of stars and planets. These global wave-like patterns occur due to the variation in Coriolis forces with latitude. In the past several years observational evidence has indicated that there are also Rossby waves in the Sun.

Sunspot simulations

Opposite Polarity Magnetic Fields and Convective Downflows in a Simulated Sunspot Penumbra

Recent numerical simulations and observations of sunspots show a significant amount of opposite polarity magnetic fields within the sunspot penumbra. Most of the opposite polarity fields are associated with convective downflows.

Average temperature of 35 cavities (black) and their surrounding streamers (red)

Thermal Properties of Coronal Cavities

We have analyzed 33 cavities observed between 2012 and 2018, from solar activity maximum to minimum. For each cavity we applied a differential emission measure method to obtain both a temperature distribution and a value of the average temperature.

Large-scale ionospheric disturbances during the 17 March 2015 storm

Large-scale ionospheric disturbances during the 17 March 2015 storm: A model-data comparative study

Storm-induced ionospheric density variations are a major concern of near-Earth space environment as they could drastically disrupt satellite navigation and telecommunication systems. Although ionospheric disturbances such as traveling ionospheric disturbances (TIDs) and storm enhanced density (SED) are commonly observed during geomagnetic storms, accurate specification of these phenomena remains a great challenge for geospace models.

Monthly EPB occurrence rate, obtained from daily EPB occurrence rate, which is in turn deduced from the maximum PRE using an empirical relation

Day-to-day variability of pre-reversal enhancement in the vertical ion drift in response to large-scale forcing from the lower atmosphere

This work reveals the pathway through which the lower atmosphere impacts the ionosphere weather at mid and low latitudes. An interesting ionospheric phenomena at low to mid-latitudes is the development of the so-called equatorial plasma bubbles (EPBs)--the rapid depletion of plasma density during night time.