Research Highlights

Research Highlights

A selection of highlights culled from publications by HAO staff.
Root-Mean-Square Difference of the plasma drift between C/NOFS data and FORMOSAT-3/COSMIC DART/TIE-GCM ensemble data assimilation computed separately for the four geomagnetic longitudinal sectors

Data-Driven Ensemble Modeling of Equatorial Ionospheric Electrodynamics

A Case Study During a Minor Storm Period Under Solar Minimum Conditions: The dayside equatorial ionospheric electrodynamics exhibits strong variability driven simultaneously by highly changeable external forcings that originate from the Sun, magnetosphere, and lower atmosphere. 

Example spectro-polarimetric data of Active Region 12471 in the Fe I lines at 630.2 nm

Design of a Highly Efficient Polychromatic Full-Stokes Polarization Modulator for the CRISP Imaging Spectrometer

In 2014 HAO built a polarimetric modulator for the CRISP instrument on the Swedish 1-m Solar Telescope in La Palma, using the principles of polychromatic modulation previously developed by HAO scientists. This paper discusses the processes by which the modulator was designed, built, and tested. The modulator was installed and had been in use since 2015. It is working at close to optimal efficiency and has produced considerable scientific output.

Magnetic Bx component[nT] at five representative sites for 9/20/2002 - 10/10/2002

Modeling Diurnal Variation Magnetic Fields for Mantle Induction Studies

Accurate models of the spatial structure of ionospheric magnetic fields in the daily variation (DV) band (periods of approximately a few hours to a day) would enable use of magneto-variational methods for three-dimensional imaging of upper mantle and transition zone electrical conductivity. Constraints on conductivity at these depths, below what is typically possible with magnetotellurics, would in turn provide valuable constraints on mantle hydration and Earth’s deep water cycle.

Migrating Semidiurnal Tide during the September Equinox Transition in the Northern Hemisphere

Specified Dynamics Whole Atmosphere Community Climate Model with thermosphere-ionosphere eXtension (SD-WACCMX) simulations are used to investigate the solar migrating semidiurnal tide (SW2) around September equinox at middle to high latitudes in the Northern Hemisphere.

Combined temperature profiles from the Venus Thermosphere General Circulation Model (VTGCM) and observations near the equator (Lat = 0-30 N+S)

Planetary-scale Wave Impacts on the Venusian Upper Mesosphere and Lower Thermosphere

Venus’ atmosphere has a cloud layer (~40 km - ~70 km) that encompasses the whole planet that separates the lower atmosphere and upper atmosphere. Images of the clouds show planetary-scale wave patterns that exist from the equator to mid-latitudes and are thought to be a combination of Kelvin and Rossby waves. 

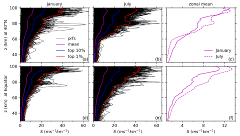
Profiles of wind shear (S, black) and their mean (magenta) as well as the top 10% (blue) and 1% (red) largest S during January (a, d) and July (b, e) at around 40 N (a, b, c) and the Equator (d, e, f), derived from SABER

Gravity-wave-perturbed wind shears derived from SABER temperature observations

Large wind shears around the mesopause region play an important role in atmospheric neutral dynamics and ionospheric electrodynamics. Based on previous observations using sounding rockets, lidars, radars, and model simulations, large shears are mainly attributed to gravity waves (GWs) and modulated by tides (Liu, 2017).

Daily values of migrating diurnal tidal amplitudes (left panel) and phases (right panel) at 1E-2 hPa (80 km) from the novel multiple satellite analysis method described in this paper (upper panel), NOGAPS-ALPHA (middle panel), and WACCM-X (lower panel)

Day-to-Day Variability of Diurnal Tide in the Mesosphere and Lower Thermosphere Driven From Below

The migrating diurnal tide (DW1) is one of the dominant wave motions in the mesosphere and lower thermosphere. It plays a crucial role in neutral atmosphere and ionosphere coupling. The DW1 can vary over a range of time scales from days to years. While the long-term variability of the DW1 is mainly attributed to the source and background atmosphere variability, the driving mechanism of short-term DW1 variability is still openly debated.

Effective diffusion coefficient

Effective vertical diffusion by atmospheric gravity waves

Han-Li Liu has observed that atmospheric gravity waves may transport heat and chemical species in the vertical direction. 

The latitude-longitude distribution of the OI 135.6 nm radiance measured by GOLD Channel B from 22:25 to 23:55 UT (22:25, 22:55, 23:10, 23:25, 23:40 and 23:55) on Nov 19, 2018

Observation of Postsunset OI 135.6 nm radiance Enhancement in South America by the Global-scale Observation of Limb and Disk (GOLD) Mission

The Global-scale Observation of Limb and Disk (GOLD) mission, for the first time, provides synoptic two-dimensional (2D) maps of OI 135.6 nm observations.