Publication: Journal of Geophysical Research - Space Physics; Authors: F. I. Laskar, N. M. Pedatella, M. V. Codrescu, R. W. Eastes, J. S. Evans, A. G. Burns, and W. McClintock

The present investigation evaluates the assimilation of synthetic data which has properties similar to actual Global-scale Observations of the Limb and Disk (GOLD) level-2 (L2) and other conventional lower atmospheric observations. The lower atmospheric and GOLD L2 temperature (Tdisk) are assimilated in the Whole Atmosphere Community Climate Model with thermosphere-ionosphere eXtension (WACCMX) using Data Assimilation Research Testbed (DART).

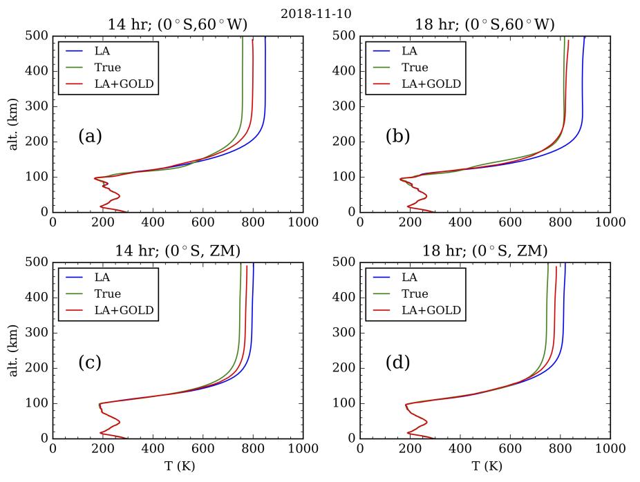
Comparison of the whole atmosphere temperature profiles from the true state, lower atmosphere only assimilation (LA), and lower-atmosphere plus GOLD assimilation (LA+GOLD) for 14 UT (left column) and 18 UT (right column) at different locations inside the GOLD field of view (top) and for the zonal mean (bottom)

Comparison of the whole atmosphere temperature profiles from the true state, lower atmosphere only assimilation (LA), and lower-atmosphere plus GOLD assimilation (LA+GOLD) for 14 UT (left column) and 18 UT (right column) at different locations inside the GOLD field of view (top) and for the zonal mean (bottom). The results show that there is significant improvement in the thermosphere temperatures in the LA+GOLD assimilation case compared to the LA only assimilation case.

It is found that inclusion of the GOLD Tdisk improves the forecast root mean square error (RMSE) and bias by 5% and 71%. When compared to lower atmosphere only assimilation the improvements in RMSE and bias are 20% and 94%. An investigation of the global DW1 and local diurnal tidal characteristics shows that inclusion of the GOLD temperatures improves the DW1 by about 8% and diurnal tide by more than 17%. The percentage improvement in tides is higher at lower thermospheric altitudes. Considerable improvements in the model state are also seen at times and locations where there are no GOLD observations available. These results and the background data assimilation procedure are presented here, which demonstrates that GOLD thermospheric temperature is an excellent dataset which can be used for thermospheric assimilation studies and operational purposes.