Research Highlights

Research Highlights

A selection of highlights culled from publications by HAO staff.

NO transport via Lagrangian Coherent Structures into the top of the polar vortex

The energetic particle precipitation (EPP) indirect effect (IE) refers to the downward transport of reactive odd nitrogen (NOx=NO+NO2) produced by EPP (EPP-NOx) from the polar winter mesosphere and lower thermosphere to the stratosphere where it can destroy ozone. Previous studies of the EPP IE examined NOx descent averaged over the polar region, but the work presented here considers longitudinal variations.

Characteristics of small-scale gravity waves in the Arctic winter mesosphere

Observational datasets in the polar middle atmosphere are extremely valuable for understanding the polar dynamics and coupling between lower and middle atmosphere. Using the long-term datasets observed with an OH all-sky imager, a Fabry-Perot Interferometer at Resolute Bay observatory, Canada (74.7°N, 94.9°W), and Microwave Limb Sounder and reanalysis data, we study the characteristics of small-scale gravity waves (GWs) with the horizontal wavelength less than 20 km in the Arctic winter mesosphere during 2014-2016.

The impact of ICON/MIGHTI zonal and meridional winds on upper atmosphere weather specification in a whole atmosphere data assimilation system

The thermospheric data assimilation is limited due to the lack of continuous observation of the neutral state. Recently, the thermospheric wind data from the Michelson Interferometer for Global High-resolution Thermospheric Imaging (MIGHTI) on NASA's Ionospheric CONnection (ICON) became available.

Dynamical Splitting Of A Spot-producing Magnetic Ring In A Nonlinear Shallow-water Model

We explore the fundamental physics of narrow toroidal rings during their nonlinear magnetohydrodynamic evolution at tachocline depths.

Post-midnight O+ Depletions Observed by ICON: Data/Model Comparison

The NASA Ionosphere Connection explorer was launched in October 2019 with the goal of understanding the transition from Earth's atmosphere to space by measuring key quantities at low latitudes. On 23 December 2019, the Ion Velocity Meter (IVM) instrument on the ICON satellite measured large depletions in the O+ density and downward drifts in the post-midnight/pre-sunset time sector. Interestingly, the H+ density was not depleted during this time and remained relatively uniform.

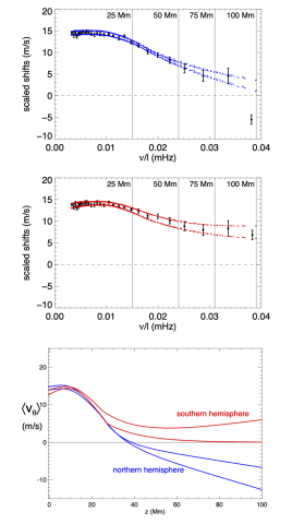
Probing the Solar Meridional Circulation using Fourier Legendre Decomposition

We apply the helioseismic methodology of Legendre Function Decomposition to 88 months of Dopp- lergrams obtained by the Helioseismic and Magnetic Imager (HMI) as the basis of inferring the depth variation of the mean meridional flow, as averaged between 20 and 60 degrees latitude and in time, in both the northern and southern hemispheres.

Climate Changes in the Upper Atmosphere: Contributions by the Changing Greenhouse Gas Concentrations and Earth's Magnetic Field From the 1960s to 2010s

Previous studies have established the importance of the increasing greenhouse gas concentrations in causing trends in the thermosphere and ionosphere (T-I). Recent work indicates that the changing Earth’s magnetic field is also important. We conduct whole atmosphere model simulations to examine T-I trends driven by these two drivers and their relative importance.

SW2 Amplitude In Meridional Wind

Predictability of the Mesosphere and Lower Thermosphere during Major Sudden Stratospheric Warmings

Stratosphere sudden warmings (SSWs) are strong disturbances in the high latitude, wintertime, stratospheric polar vortex. The effects of SSWs are, however, not limited to the stratosphere, and SSWs influence the whole atmosphere, including tropospheric weather, chemistry and dynamics of the middle atmosphere, and the near-Earth space environment.

Geospace response to an extreme solar flare

Solar flares—a sudden eruption of electromagnetic radiation at the Sun—are known to have significant impacts on Earth’s upper atmosphere and ionosphere, but their collective effects on geospace as an integrated system have never been examined.