Publication: Atmospheric Chemistry and Physics; Authors: Xiao Liu, Jiyao Xu, Jia Yue, and Hanli Liu

Large wind shears around the mesopause region play an important role in atmospheric neutral dynamics and ionospheric electrodynamics. Based on previous observations using sounding rockets, lidars, radars, and model simulations, large shears are mainly attributed to gravity waves (GWs) and modulated by tides (Liu, 2017). Based on the dispersion and polarization relations of linear GWs and the Sounding of the Atmosphere using Broadband Emission Radiometry (SABER) temperature data from 2002 to 2019, a method of deriving GW-perturbed wind shears is proposed. The zonal-mean GW-perturbed shears have peaks (13–17 ms-1 km-1) at around the mesopause region, i.e., at ~90–100 km at most latitudes and at ~80–90 km around the cold summer mesopause. This latitude–height pattern is robust over the 18 years and agrees with model simulations.

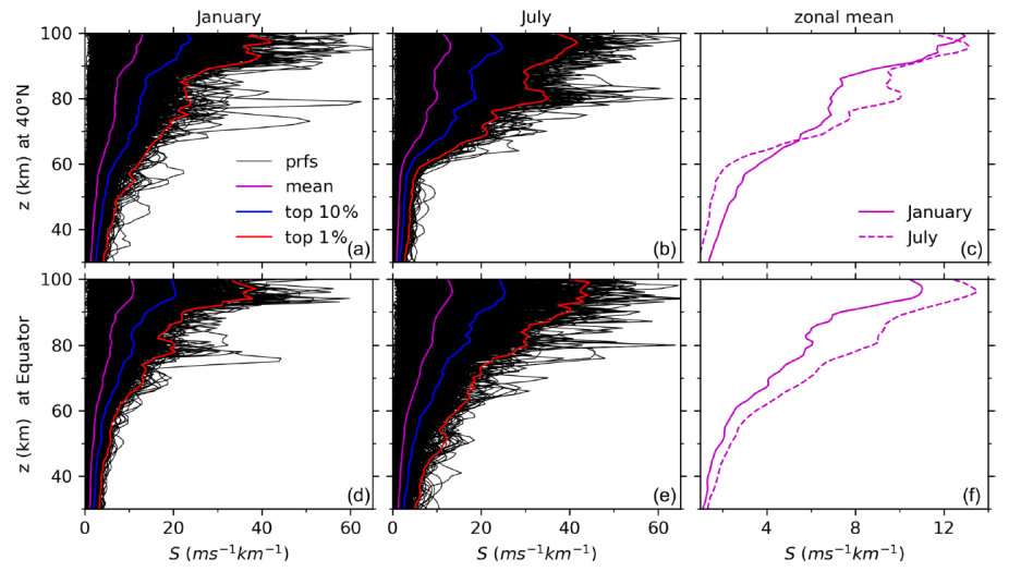
Profiles of wind shear (S, black) and their mean (magenta) as well as the top 10% (blue) and 1% (red) largest S during January (a, d) and July (b, e) at around 40 N (a, b, c) and the Equator (d, e, f), derived from SABER

Profiles of wind shear (S, black) and their mean (magenta) as well as the top 10% (blue) and 1% (red) largest S during January (a, d) and July (b, e) at around 40 N (a, b, c) and the Equator (d, e, f), derived from SABER using the method described in this paper. The zonal means of S during January (solid) and July (dashed line) at the two latitudes are also shown in (c) and (f) for comparison. Same x-axis (y-axis) scale is used in each row (column).

The magnitudes of the GW-perturbed shears exhibit year-to-year variations and agree with the lidar and sounding rocket observations in a climatological sense but are 60 %–70% of the model results in the zonal-mean sense. The GW-perturbed shears are hemispherically asymmetric and have strong annual oscillation (AO) at around 80 km (above 92 km) at the northern (southern) middle and high latitudes. At middle to high latitudes, the peaks of AO shift from winter to summer and then to winter again with increasing height. However, these GW-perturbed shears may be overestimated because the GW propagation direction cannot be resolved by the method and may be underestimated due to the observational filter, sampling distance, and cutoff criterion of the vertical wavelength of GWs.