Publication: The Astrophysical Journal; HAO Author: Yuhong Fan; Authors as listed in article: D. Braun, A. Birch, and Y. Fan

We apply the helioseismic methodology of Legendre Function Decomposition to 88 months of Dopp- lergrams obtained by the Helioseismic and Magnetic Imager (HMI) as the basis of inferring the depth variation of the mean meridional flow, as averaged between 20 and 60 degrees latitude and in time, in both the northern and southern hemispheres. We develop and apply control procedures designed to assess and remove center-to-limb artifacts, using measurements obtained by performing the analysis with respect to artificial poles at the east and west limbs. Forward modeling is carried out, using sensitivity functions proportional to the mode kinetic energy density, to evaluate the consistency of the corrected frequency shifts with models of the depth variation of the meridional circulation in the top half of the convection zone.

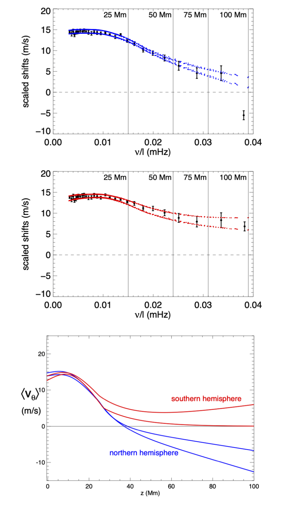
Doppler frequency shifts

The top and middle panels show the measured Doppler frequency shifts (black filled circles with error bars) between poleward and equator-ward propagating p-mode waves in the northern (top panel) and southern (middle panel) hemisphere, over-plotted with the predicted frequency shifts (blue and red dots) forward modeled using the meridional flow profiles shown in the bottom panel that are selected to straddle the range of the observations in the northern (blue) and southern (red) hemisphere.

The results, taken at face value, imply substantial differences between the meridional circulation in the northern and southern hemisphere. The inferred presence of a return (equator-ward propagating) flow at a depth of approximately 40 Mm below the photosphere in the northern hemisphere is surprising and appears to be inconsistent with many other helioseismic analyses. This discrepancy may be the result of an inadequacy of our methodology to remove systematic errors in HMI data. Our results appear to be at least qualitative similar to those by Gizon et al. (2020) which point to an anomaly in HMI data that is not present in MDI or GONG data.