Research Highlights

Research Highlights

A selection of highlights culled from publications by HAO staff.
EIA formation and evolution

The Formation Mechanism of Merged EIA During a Storm on 4 November 2021

Kun Wu, Liying Qian, Wenbin Wang, Xuguang Cai, and Joseph Mclnerney conduct an in-depth analysis of Whole Atmosphere Community Climate Model-eXtended (WACCM-X) simulations to examine physical mechanisms of the formation and evolution of an equatorial ionization anomaly (EIA) merging phenomenon during a storm on November 4th, 2021. 

polarization cross-talk

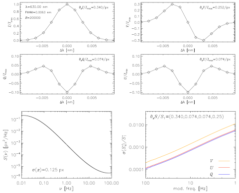
Image instabilities and polarization cross-talk

In this publication, Roberto Casini and Alfred de Wijn expand on their previous study of the impact of atmospheric seeing on polarization cross-talk, and show how the formalism that was developed in that work can be applied to treat the case of spatial modulators of polarization. 

Polar Night Observations

Transport of Nitric Oxide in the Winter Mesosphere and Lower Thermosphere

Han-Li Liu observes that nitric oxide (NO) is one of the most important cooling agent in the thermosphere and an important species for the energy balance of the upper atmosphere and the chemistry and dynamics of the middle atmosphere. 

the impact of the diurnal and semidiurnal tides

Impact of Upward Propagating Migrating Diurnal and Semidiurnal Tides on the Ionosphere-Thermosphere Seasonal Variation

N. M. Pedatella, K. Wu, L. Qian, and Q. Gan use WACCM-X to investigate the impact of the upward propagating migrating diurnal (DW1) and semidiurnal (SW2) tides on the seasonal variability in the ionosphere and thermosphere. The results demonstrate that the upward propagating DW1 and SW2 both have significant effects on the ionosphere and thermosphere, including influencing the seasonal variability.

Dikpati teleconnection

Magnetohydrodynamic Instabilities of Double Magnetic Bands in a Shallow-water Tachocline Model: II Teleconnection Between High- and Low-latitude Bands and Across Equator

Mausumi Dikpati, Bernadett Belucz, Robertus Erdelyi, Peter A Gilman, Scott W McIntosh and Breno Raphaldini find that latitude-location, latitude-separation, and amplitude of the  toroidal magnetic field bands strongly influence the latitudinal structure and growth rates of the unstable modes, of both symmetries about the equator. These properties can lead to 'teleconnections' between low- and high-latitudes in each hemisphere and across the equator. 

Magnetic field configuration and parameters

Magnetic Field Evolution of the Solar Active Region 13664

Robert Jarolim, Astrid M. Veronig, Stefan Purkhart, Peijin Zhang, and Matthias Rempel provide a detailed record of the magnetic field evolution of AR 13664, now publicly available for further research. Their results show that drops in free magnetic energy coincide with large solar flares, and that all modeled X-class flares were associated with a sudden decrease in magnetic energy.

Hovmoller (time × longitude) diagram at 30◦ latitudes

Spectra of solar shallow-water waves from bright point observations

Breno Raphaldini, Mausumi Dikpati, Scott W. McIntosh, and Andre S. W. Teruya, utilize 3 years of global, synchronous observations of coronal bright point densities to obtain empirical signatures of dispersion relations that can be attributed to the simulated waves in tachocline. By tracking the bright point densities at selected latitudes, they compute their wave-number X frequency spectra. 

MHD simulation of the 2011-02-15 coronal mass ejection (CME)

A data-driven MHD simulation of the 2011-02-15 coronal mass ejection from Active Region NOAA 11158

Yuhong Fan, Maria Kazachenko, Andrei Afanasev, and George Fisher present a boundary data-driven magneto-hydrodynamic (MHD) simulation of the 2011-02-15 coronal mass ejection (CME) event of Active Region (AR) NOAA 11158. The simulation is driven at the lower boundary with an electric field derived from the normal magnetic field and the vertical electric current measured from the Solar Dynamics Observatory (SDO) Helioseismic Magnetic Imager (HMI) vector magnetograms. 

Gibson Coronal Activity

Observing the evolution of the Sun’s global coronal magnetic field

Zihao Yang, Hui Tian, Steven Tomczyk, Xianyu Liu, Sarah Gibson, Richard Morton, Cooper Downs, using the Upgraded Coronal Multi-channel Polarimeter, have obtained magnetograms of the global corona above the solar limb over approximately eight months.