The Astrophysical Journal:  We expand on our previous study of the impact of atmospheric seeing on polarization cross-talk, and show how the formalism that was developed in that work can be applied to treat the case of spatial modulators of polarization. Beside formally demonstrating how the problem of cross-talk is fully eliminated in such devices, we also gain insight on the meaning of polarimetric noise of temporal modulation schemes in the limit of very high modulation frequency. We also describe the problem of spectrograph instabilities, and how the spectral gradients that are naturally associated with a line spectrum feed into the problem of polarimetric errors induced by mechanical vibrations, thermal drifts, and pointing jitter. Finally, we show how this formalism can be used to estimate the contribution of polarization cross-talk to the errors on the elements of the 4$\times$4 Stokes response matrix, for the purpose of producing realistic error budgets for polarimetric instrumentation.

polarization cross-talk

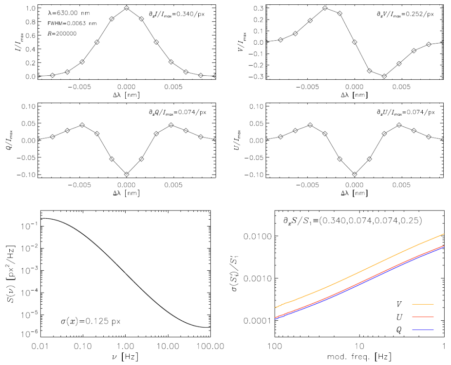
Figure 2. Top two rows: Example of spectrally resolved Stokes profiles of a narrow line (FWHM ∼6.3 pm), observed with a resolving power of 200 000 (2-px critical-sampling), and assuming maximum linear polarization of 10% and circular polarization of 30%. The spectral gradients reported inside the panels are obtained through Eq. (15), and must be used in Eq. (3) to estimate the corresponding polarimetric cross-talk errors. Bottom row: (left) modeled PSD of the image jitter at the detector in the spectral direction, delivering a target 1/8 px rms (de Wijn et al. 2022); (right) polarization cross-talk errors induced by the same PSD, for a spectrograph configuration representing the observation of the synthetic Stokes profiles shown at the top, assuming a total integration time of 10 s and a 10-state modulation cycle.)