Skip to main content

Main navigation

U.S. NSF Logo
NSF NCAR Logo
Contact Us
High Altitude Observatory
  • Home
  • About
    • HAO News
    • History of HAO
    • People
    • Visitor Program
    • Partnerships
    • Organizational Chart
    • Strategic and Implementation Plans
    • External Advisory Committees
    • Internal Advisory Committees
    • Information for Staff/Visitors
    • Computer Support
  • Research
    • Research Highlights
    • Science Topics
  • Modeling
    • Assimilative Mapping of Ionospheric Electrodynamics (AMIE)
    • Coupled Magnetosphere Ionosphere Thermosphere Model (CMIT)
    • Data-Optimized Coronal Field Model (DOCFM)
    • FORWARD
    • The GLobal airglOW Model (GLOW)
    • Global Scale Wave Model (GSWM)
    • Lyon-Fedder-Mobarry (LFM) code
    • MURaM Sunspot Model Output
    • TIEGCM
    • WACCM-X
    • Living With A Star Focus Team
  • Observation
    • Mauna Loa Solar Observatory
    • COSMO
    • Community Spectro-polarimetric Analysis Center
    • Fabry-Perot Interferometers
    • HAO Eclipses
    • McIntosh Synoptic Map Archive
    • NCAR Vacuum Tunnel Facility
    • Solar Maximum Mission
    • The Sun Today
    • WindCube
    • LFDI
  • Education
    • The Sun: A Pictorial Introduction
    • Questions and Answers About the Sun
    • Solar Physics Historical Timeline
    • Famous Solar-Stellar Scientists
    • Solar Astronomy in the Prehistoric Southwest
    • Suggested Reading
    • Additional Educational Resources
  • News & Events
    • News
    • All Upcoming Events
    • Past Events
Contact Us

Impact of strong and weak stratospheric polar vortices on geomagnetic solar and lunar tides

Scatter plot semidiurnal solar (S2) and semidiurnal lunar (L2) geomagnetic tides

Understanding nighttime ionospheric depletions associated with sudden stratospheric warmings in the American sector

Four colorful graphs

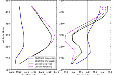
The Impact of Assimilating COSMIC-2 Observations of Electron Density in WACCMX

WACCMX+DART analysis

A Lagrangian Study of Tidal Advection of Mesospheric Water Vapor

DW1 advected H2O volume mixing ratio

The photoelectron driven upper hybrid instability as the cause of 150 km echoes

summation of growth rates of the upper hybrid instability for a variety of wavelengths

Scientific Motivations and Future Directions of Whole Atmosphere Modeling

Lower-atmosphere processes in the ionosphere-thermosphere

Lower thermospheric material transport via Lagrangian coherent structures

Left: Specified Dynamics Whole Atmosphere Community Climate Model with thermosphere-ionosphere eXtension (SD-WACCMX) Lagrangian coherent structures (LCSs) for a space shuttle launch during (a) spring and (b) summer. Right: Observations of GUVI Lyman-alpha column emission rates in Rayleighs reprinted from Meier et al. (2011) and annotated with the LCS locations.

The Molecular Oxygen Density Structure of the Lower Thermosphere as Seen by GOLD and Models

Comparisons of local time structure of molecular oxygen at 21°N, 170 km altitude

Impact of Thermospheric Wind Data Assimilation on Ionospheric Electrodynamics using a Coupled Whole Atmosphere Data Assimilation System

Longitude-latitude maps of NmF2 from the NR (first column) and the difference of NmF2 between OSSEs and NR (second to fourth columns) at six different times.

Interhemispheric Coupling Mechanisms in the Middle Atmosphere of WACCM6

Differences in the monthly mean temperature from the long-term average over three WACCM realizations

Pagination

  • Previous page ‹‹
  • Page 2
  • Next page ››
Subscribe to Nick Pedatella

NSF NCAR

  • NSF NCAR Homepage
  • ACOM | Atmospheric Chemistry Observations & Modeling
  • CGD Laboratory
  • CISL | Computational & Information Systems
  • EdEC | Education, Engagement & Early-Career Development
  • EOL | Earth Observing Laboratory
  • HAO | High Altitude Observatory
  • MMM | Mesoscale & Microscale Meteorology
  • RAL | Research Applications Laboratory

UCAR

  • UCAR Homepage
  • Community Programs
  • Education & Training
  • For Staff
  • Government Relations & External Engagement
  • Member Institutions
  • Tech Transfer & Engagement
  • University Collaboration

Subscribe to NCAR|UCAR News

Follow NCAR|UCAR

© 2026 UCAR

  • Privacy
  • Cookies
  • Web Accessibility
  • Terms of Use
  • Copyright Issues
  • Sponsored by U.S. NSF
  • Report Ethics Concern
  • Staff Login
Postal Address: P.O. Box 3000, Boulder, CO 80307-3000 • Shipping Address: 3090 Center Green Drive, Boulder, CO 80301
NSF Logo

This material is based upon work supported by the NSF National Center for Atmospheric Research, a major facility sponsored by the U.S. National Science Foundation and managed by the University Corporation for Atmospheric Research. Any opinions, findings and conclusions or recommendations expressed in this material do not necessarily reflect the views of the U.S. National Science Foundation.